利好卖家!亚马逊推出最严物流新规

近日,亚马逊发布公告称,将在其物流服务管理平台Carrier Central实施新的规则,以提高其对第三方物流公司和运营商的监管力度,新规将从5月1日起生效。




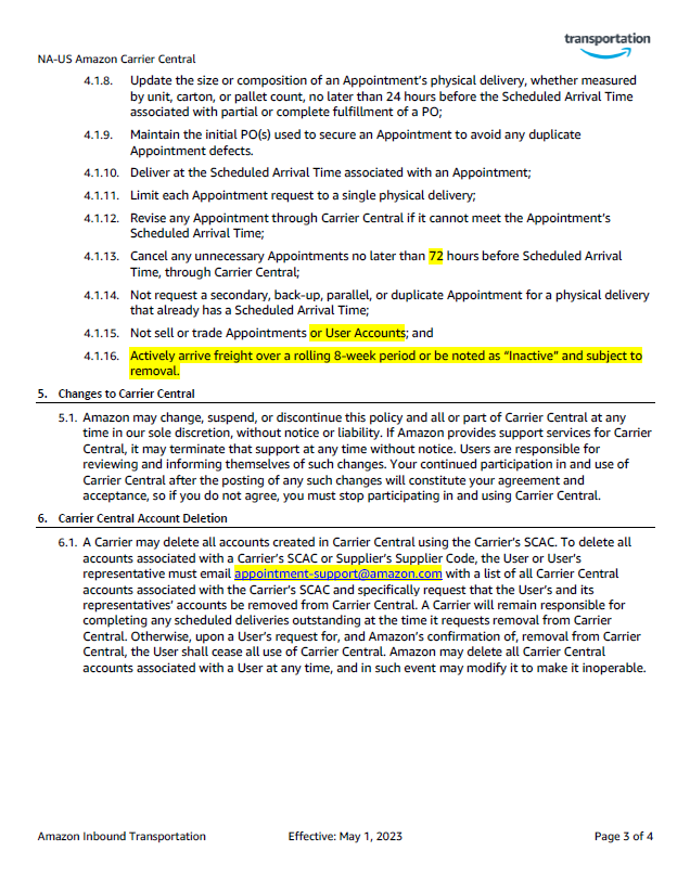
左右滑动查看亚马逊公告原文
重点更新内容
亚马逊要求承运人的预约缺陷率不得高于5%,订单准确率须高于95%。亚马逊保留对预约缺陷率高于10%或订单准确率低于85%的承运人优先执行的权利,若缺陷率超过50%的承运人账号将被封禁30天。
亚马逊将缺陷考察点分为三类。
01
安排缺陷
使用PO安排的交付且亚马逊已全部收到的PO,存在不准确或具有误导性(例如PO有效,但其相应货物不在交付车辆上)
02
送达缺陷
No-Call-No-Show (“NCNS”),指预约后未抵达,或抵达迟于预约时间后
未及时取消,指承运人在预定到达时间前72小时或更短时间内取消的预约
未及时重新安排,是指承运人在预定到达时间前72小时或更短时间内重新安排的预约
仓库拒绝接收,是指亚马逊工作人员在计划到达时间后24小时内或更短时间内拒绝接收,原因是安全问题、货运类型的误运(例如分拣货运现场的非分拣货物),或误运(如运往FC1的货物到达FC2)
03
准确度缺陷
PO准确度缺陷,指的是亚马逊实际接收到的承运人填写的订单数量,与在预约上收到的采购订单总数不匹配
错发,指的是根据承运人提供的预约信息收到的货物,地点有误(如预约在ONT8,实际送到LAX9)
利好卖家
亚马逊表示,新规的推出是为了保障消费者的权益和安全,并提高亚马逊平台上的商品质量和服务水平。同时,这也是亚马逊在加强对其物流服务的监管和管理,提高物流服务提供商的业务质量和信誉方面所作出的努力。
新规将于5月1号在Carrier Central上正式实施,物流服务提供商需要按照规定进行审核和认证,否则将可能会被禁止在平台上提供物流服务。
新规解读
从操作流程上来看,此前大部分承运人做法是大量屯约来保障时效,直送是待到港后预计可提后,将对应PO加进合适时间的预约号内,拆派是拆完柜子后,将正确PO加进合适预约中。
新规实施后,为匹配亚马逊考核要求,承运人需要做到以下四点:
不可随意大量屯约,屯约后未及时取消将被算作缺陷
预约时间调整72小时起
不可先发车后补PO
PO准确率要求从70%提升至85%,预约门槛提高
新规实施后将主要有以下两点短期影响:
1、派送时效可能会平均增加2-3天:具体每家卡车的预约账号储备和派送表现作为主要影响因素,带来的时效影响会有所差异
2、成本上涨:派送时效拉长,相应产生车架费、柜租的几率增加;账号考核难度加码,新增账号和预约号的成本增加
亚马逊此举进一步保障了卖家的权益。同时,这对承运人也是一个更严格的考验,相信对目前的市场乱象也能起到整治的效果。
翼飞建议可以选择有上市背景、信誉度高、市场风评优良的跨境物流企业,并且能提供美国仓库实际运营证据,如视频验证、企业仓库文件认证等的物流服务商,选择真正自营仓库进行中转补货,才是跨境卖家经营的安心选择。
我们建了一个亚马逊卖家交流群,里面不乏很多大卖家。
现在扫码回复“ 加群 ”,拉你进群。
热门文章
*30分钟更新一次







