2022年跨境圈最大规模暴雷,1W+件美标将面临无效风险?

(图片来源于美国专利商标局(USPTO)官网)
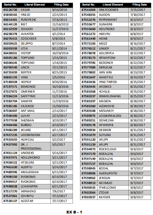
1理由陈述令内容
从USPTO的理由陈述令可见,涉事公司违规涉及4个方面:
1、无美国商标专利律师执业资格从事法律实践业务,依据USPTO调查到该公司发出的邮件内容显示,该公司聘请无美国律师执业资格的人提交商标申请及后续程序的操作。


其中一位律师表示有近千个商标申请在她完全不知情的情况下被不当地使用她的签字提交的。




4、涉案公司的商标业务操作模式涉嫌欺诈,包括在商标申请程序提交有关的虚假事实陈述,意图欺骗USPTO;故意隐瞒案件情况,输入虚假律师信息,滥用MyUSPTO账号等。


针对违规行为,涉事公司须在限期内做出答复,否则USPTO提出8项制裁措施:


上下滚动查看更多




(左右滑动查看图片)
2
如商标被无效,对跨境卖家有何影响
对于跨境卖家而言,如果商标被无效了,此事造成的损失将会十分重大!
根据2021年的制裁事件来看,亚马逊平台会撤销所有被制裁无效的商标的品牌备案,换言之,涉案的商标其品牌备案功能会无法使用;
并且对应品牌的链接有被移除下架的可能,不仅如此,品牌店铺也可能会被认定为有品牌滥用行为,进而影响到新品牌备案与投诉功能的使用!
经过上一年暴雷事件,此次卖家们都更有经验,也更重视这个问题了。不少卖家们在各大社区和论坛中提问:
“商标在名单里,如何避免店铺牵连?”
“商标如果被无效了,有什么办法拯救吗?”

(图片来源于知无不言)
对此,小信从以下3个角度进行解答:
(1)现在可以通过更换律师,转让申请人等方式避免被无效吗?
根据此前的制裁事件中USPTO给出的结果,更换律师、转让申请人等方式都是无用的。一旦商标被无效,所有的程序都会终止。即使律师进行上诉,目前也没有成功案例,可行性很低。
(2)是否可以重新注册相同的商标?
可以重新提交申请,但需要注意:商标名可以一致,所选的产品项目应当根据实际使用和实际需求重新选择,项目完全一致的话,USPTO会认为重复申请。重新申请时,须提供真实有效的使用证据,以免收到证据驳回的审查意见。更多具体事项可以咨询方小信。
(3)怎样提前操作可以避免牵连店铺?
据之前同类事件有经验的卖家回复:“在理由陈述令的答复期间,备案不会被移除,可以自己主动撤销品牌备案,重新备案一个没有问题的商标”。

我们建了一个亚马逊卖家交流群,里面不乏很多大卖家。
现在扫码回复“ 加群 ”,拉你进群。
热门文章
*30分钟更新一次







