做亚马逊必须看懂的ROE:赚钱的底层逻辑!

如何通过后台下载表格来精确核算每个SKU利润,是否可以准确计算某个经营周期每个SKU产生的所有费用和利润?是否需要结合其他表格来实现更全面的核算?
从后台-付款-日期范围报告-生成报告-选择报告类型-交易-自定义-起始时间设置-生成-下载报告
以上是我下载表格的方式,可能还需要其他表格,因为不仅仅是订单要按照SKU核算,包括产生的各种费用也需要按照不同SKU独立分摊核算。
根据这个表格是否可以准确计算某个经营周期每个SKU产生的所有费用和利润?
如果这种方式正确,请分解这个表格的使用方法,如果可以形成一个模板最好!
目的在于傻瓜式核算亚马逊每个SKU经营情况,利于准确把握运营节奏。然后是否需要结合其他表格来实现更全面的核算?


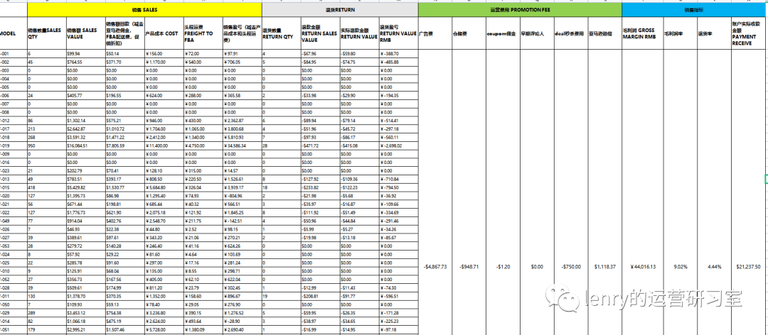
总共是4部分数据:

后台下载路径:数据报告-付款-日期范围报告-生成报告-选择报告类型-交易-选择对应时间,这个模块很简单,不做过多介绍
总的来讲就是把原始数据进行费用分类:

(2)Refund - 退货订单
(3)Service Fee - 广告费和平台月租
(4)FBA Inventory Fee - 平台仓储费
(5)空白 - coupon费用
(6)Deal Fee - 站内秒杀活动费用
(7)Adjustment - 亚马逊赔偿
(8)Transfer - 亚马逊转账数据
把下载的原始数据按照这几部分单独创建sheet保存。

这部分是关于每个SKU的财务核算,这部分计算的是毛利润
毛利润=正常订单销售额-产品成本-订单头程运费-订单佣金-订单配送成本-订单退货成本
1,把所有正常订单放到一个sheet
2,把所有退货订单放到一个sheet
3,每个SKU放到一个sheet(多变体的可以多个SKU放在一个sheet)





净利润=毛利润-测评成本-站外促销费用(以及其他成本)
SKU净利润=SKU毛利润-SKU广告成本-SKU仓储成本-SKU秒杀成本-SKU优惠券成本-SKU站外成本-SKU测评成本
SKU毛利润:第三部分的毛利润表可以计算出来
SKU广告成本:后台广告费用直接查看
SKU仓储成本:后台下载仓库费用明细,按照ASIN区分,就可以得到每个SKU的仓储成本
SKU秒杀成本:后台秒杀活动页面可以查看
SKU优惠券成本:后台优惠券页面可以查看
SKU站外成本:手动记录
SKU测评成本:手动记录
然后进行表格汇总就可以非常明细的知道每个SKU的净利润

这是一整套财务计算表格,可以计算出来每个SKU的费用明细和每个账号的费用明细,所有的表格都设置好数据模板和公式,每个月只需要更新原始数据即可,所有的表格都会根据原始数据自动读取和计算。


我们建了一个亚马逊卖家交流群,里面不乏很多大卖家。
现在扫码回复“ 加群 ”,拉你进群。
热门文章
*30分钟更新一次







